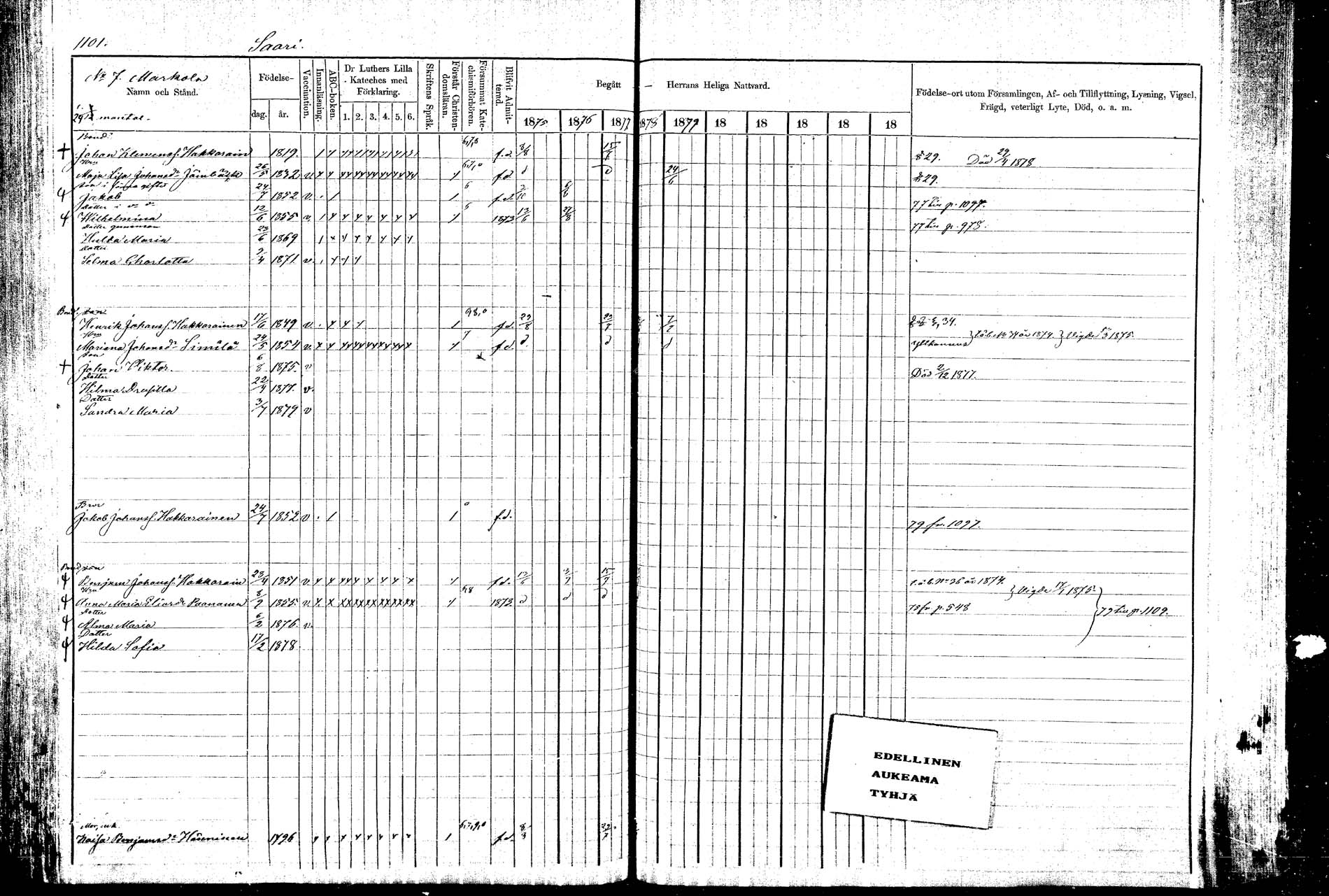
Kivijärvi , Rippikirja, 1875-1879 MKO49-76 Kuva 813 Edellinen Seuraava

[ kuvat/813.jpg ]