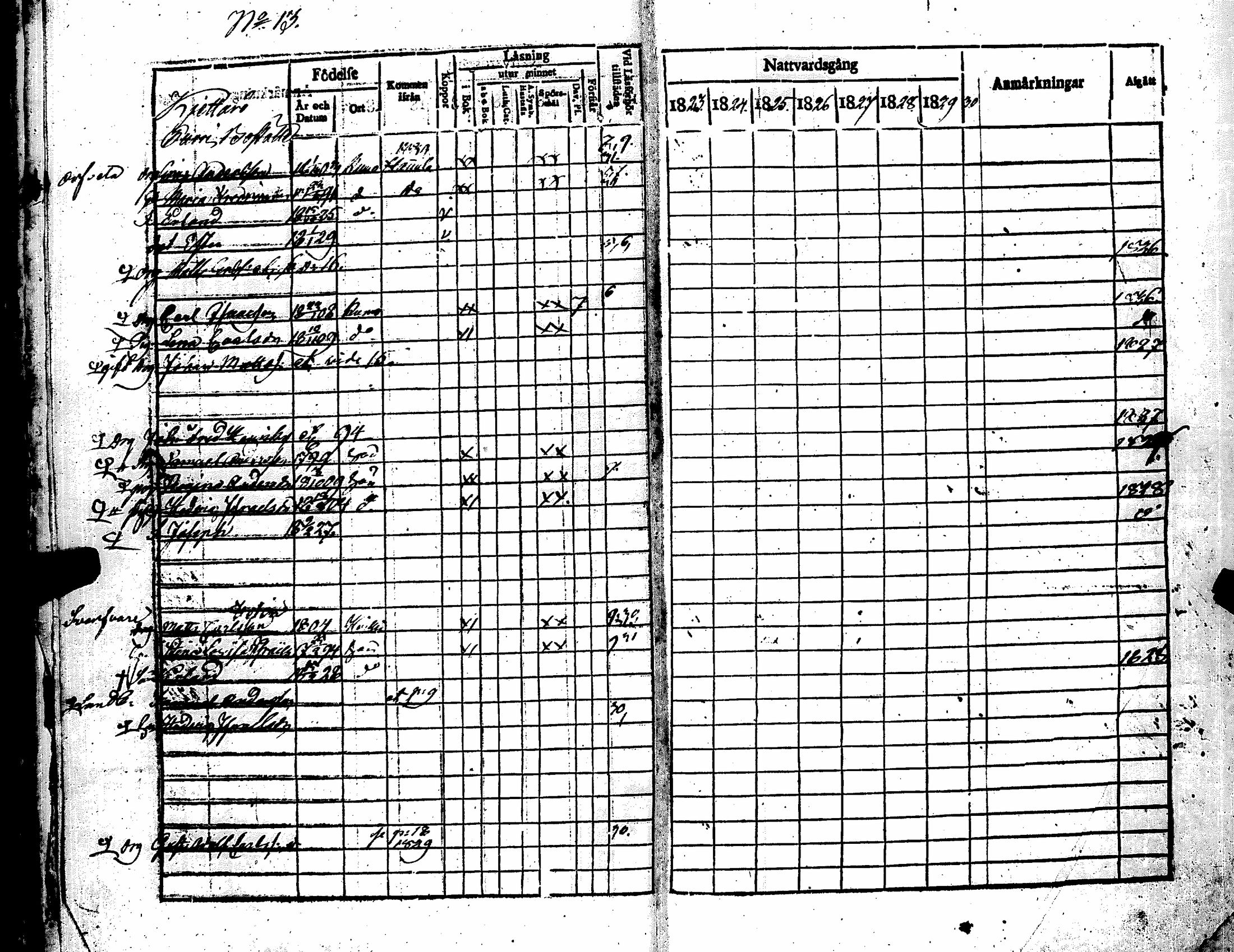
Kokemäki , Rippikirja, 1823-1830 JK538-539 Kuva 17 Edellinen Seuraava

[ kuvat/17.jpg ]